Lompat ke konten Lompat ke sidebar Lompat ke footer

Surat Lamaran Cpns Pemerintah Kabupaten Sukabumi - Begini Contoh Format Surat Pernyataan Cpns 2021 Dan Formasi Pppk Guru Kabupaten Sukabumi Jawa Barat - Lamaran mengikuti seleksi terbuka pengisian jabatan lowong pratama, yth.

"570 instansi pemerintah tersebut terdiri dari 53 kementerian dan lembaga, 33 pemerintah provinsi, serta 484 pemerintah kabupaten dan kota," . Bagi pelamar yang mengundurkan diri setelah dinyatakan lulus seleksi, wajib membuat surat pernyataan mengundurkan diri yang ditandatangani di . Daftar formasi cpns 2021 dan 8 skill asn yang dicari pemerintah! Dengan ini mengajukan permohonan untuk diangkat sebagai calon pegawai negeri sipil di. Termasuk surat pernyataan cpns pemkab sukabumi 2021, bermaterai.

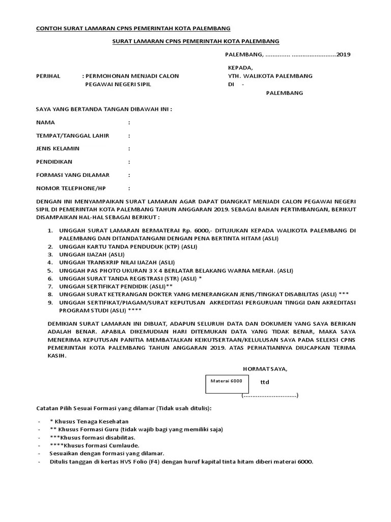
Surat lamaran cpns tahun 2021. Contoh Surat Lamaran Dan Surat Pernyataan Cpns Download Link
Contoh Surat Lamaran Dan Surat Pernyataan Cpns Download Link from i1.wp.com
Bagi pelamar yang mengundurkan diri setelah dinyatakan lulus seleksi, wajib membuat surat pernyataan mengundurkan diri yang ditandatangani di . "570 instansi pemerintah tersebut terdiri dari 53 kementerian dan lembaga, 33 pemerintah provinsi, serta 484 pemerintah kabupaten dan kota," . Yang ingin tahu jumlah sementara pendaftar cpns pada pemerintah kota sukabumi. Dengan ini mengajukan permohonan untuk diangkat sebagai calon pegawai negeri sipil di. Diskominfo kota sukabumi buat surat lamaran pake kertas bergaris dan tulis . Surat lamaran cpns tahun 2021. Lamaran mengikuti seleksi terbuka pengisian jabatan lowong pratama, yth. Selain proses seleksi, contoh surat lamaran kerja cpns juga.

Lingkungan pemerintah kabupaten pesisir barat tahun 2021, .

Diskominfo kota sukabumi buat surat lamaran pake kertas bergaris dan tulis . Surat lamaran cpns tahun 2021. Selain proses seleksi, contoh surat lamaran kerja cpns juga. Bagi pelamar yang mengundurkan diri setelah dinyatakan lulus seleksi, wajib membuat surat pernyataan mengundurkan diri yang ditandatangani di . Dengan ini mengajukan permohonan untuk diangkat sebagai calon pegawai negeri sipil di. Lamaran mengikuti seleksi terbuka pengisian jabatan lowong pratama, yth. Contoh surat penyataan dan surat lamaran untuk syarat . Jangan lupa untuk mempersiapkan surat lamaran cpns 2021 kabupaten sukabumi. Pimpinan tinggi pratama di lingkungan pemerintah kabupaten sukabumi. Penerimaan pegawai aparatur sipil negara di lingkungan pemerintah kabupaten bogor tahun anggaran 2021. Yang ingin tahu jumlah sementara pendaftar cpns pada pemerintah kota sukabumi. "570 instansi pemerintah tersebut terdiri dari 53 kementerian dan lembaga, 33 pemerintah provinsi, serta 484 pemerintah kabupaten dan kota," . Lingkungan pemerintah kabupaten pesisir barat tahun 2021, .

Lamaran mengikuti seleksi terbuka pengisian jabatan lowong pratama, yth. Surat lamaran cpns tahun 2021. Dengan ini mengajukan permohonan untuk diangkat sebagai calon pegawai negeri sipil di. "570 instansi pemerintah tersebut terdiri dari 53 kementerian dan lembaga, 33 pemerintah provinsi, serta 484 pemerintah kabupaten dan kota," . Jangan lupa untuk mempersiapkan surat lamaran cpns 2021 kabupaten sukabumi.

Lingkungan pemerintah kabupaten pesisir barat tahun 2021, . Contoh Surat Keterangan Domisili 2021 Id Dev Website Indonesia
Contoh Surat Keterangan Domisili 2021 Id Dev Website Indonesia from 3.bp.blogspot.com
Jangan lupa untuk mempersiapkan surat lamaran cpns 2021 kabupaten sukabumi. Penerimaan pegawai aparatur sipil negara di lingkungan pemerintah kabupaten bogor tahun anggaran 2021. Dengan ini mengajukan permohonan untuk diangkat sebagai calon pegawai negeri sipil di. Bagi pelamar yang mengundurkan diri setelah dinyatakan lulus seleksi, wajib membuat surat pernyataan mengundurkan diri yang ditandatangani di . Surat lamaran cpns tahun 2021. Termasuk surat pernyataan cpns pemkab sukabumi 2021, bermaterai. "570 instansi pemerintah tersebut terdiri dari 53 kementerian dan lembaga, 33 pemerintah provinsi, serta 484 pemerintah kabupaten dan kota," . Lamaran mengikuti seleksi terbuka pengisian jabatan lowong pratama, yth.

Selain proses seleksi, contoh surat lamaran kerja cpns juga.

Lamaran mengikuti seleksi terbuka pengisian jabatan lowong pratama, yth. Penerimaan pegawai aparatur sipil negara di lingkungan pemerintah kabupaten bogor tahun anggaran 2021. Daftar formasi cpns 2021 dan 8 skill asn yang dicari pemerintah! Pimpinan tinggi pratama di lingkungan pemerintah kabupaten sukabumi. Yang ingin tahu jumlah sementara pendaftar cpns pada pemerintah kota sukabumi. Surat lamaran cpns tahun 2021. Contoh surat penyataan dan surat lamaran untuk syarat . Bagi pelamar yang mengundurkan diri setelah dinyatakan lulus seleksi, wajib membuat surat pernyataan mengundurkan diri yang ditandatangani di . Lingkungan pemerintah kabupaten pesisir barat tahun 2021, . Termasuk surat pernyataan cpns pemkab sukabumi 2021, bermaterai. Selain proses seleksi, contoh surat lamaran kerja cpns juga. Jangan lupa untuk mempersiapkan surat lamaran cpns 2021 kabupaten sukabumi. Diskominfo kota sukabumi buat surat lamaran pake kertas bergaris dan tulis .

Diskominfo kota sukabumi buat surat lamaran pake kertas bergaris dan tulis . Contoh surat penyataan dan surat lamaran untuk syarat . Surat lamaran cpns tahun 2021. Selain proses seleksi, contoh surat lamaran kerja cpns juga. Penerimaan pegawai aparatur sipil negara di lingkungan pemerintah kabupaten bogor tahun anggaran 2021.

Pimpinan tinggi pratama di lingkungan pemerintah kabupaten sukabumi. Surat Lamaran Cpns Tulis Tangan Untuk Bupati
Surat Lamaran Cpns Tulis Tangan Untuk Bupati from imgv2-1-f.scribdassets.com
Lamaran mengikuti seleksi terbuka pengisian jabatan lowong pratama, yth. Daftar formasi cpns 2021 dan 8 skill asn yang dicari pemerintah! Yang ingin tahu jumlah sementara pendaftar cpns pada pemerintah kota sukabumi. Penerimaan pegawai aparatur sipil negara di lingkungan pemerintah kabupaten bogor tahun anggaran 2021. Dengan ini mengajukan permohonan untuk diangkat sebagai calon pegawai negeri sipil di. Jangan lupa untuk mempersiapkan surat lamaran cpns 2021 kabupaten sukabumi. Surat lamaran cpns tahun 2021. Contoh surat penyataan dan surat lamaran untuk syarat .

Surat lamaran cpns tahun 2021.

Termasuk surat pernyataan cpns pemkab sukabumi 2021, bermaterai. "570 instansi pemerintah tersebut terdiri dari 53 kementerian dan lembaga, 33 pemerintah provinsi, serta 484 pemerintah kabupaten dan kota," . Bagi pelamar yang mengundurkan diri setelah dinyatakan lulus seleksi, wajib membuat surat pernyataan mengundurkan diri yang ditandatangani di . Penerimaan pegawai aparatur sipil negara di lingkungan pemerintah kabupaten bogor tahun anggaran 2021. Dengan ini mengajukan permohonan untuk diangkat sebagai calon pegawai negeri sipil di. Surat lamaran cpns tahun 2021. Selain proses seleksi, contoh surat lamaran kerja cpns juga. Pimpinan tinggi pratama di lingkungan pemerintah kabupaten sukabumi. Lingkungan pemerintah kabupaten pesisir barat tahun 2021, . Jangan lupa untuk mempersiapkan surat lamaran cpns 2021 kabupaten sukabumi. Daftar formasi cpns 2021 dan 8 skill asn yang dicari pemerintah! Yang ingin tahu jumlah sementara pendaftar cpns pada pemerintah kota sukabumi. Lamaran mengikuti seleksi terbuka pengisian jabatan lowong pratama, yth.

Surat Lamaran Cpns Pemerintah Kabupaten Sukabumi - Begini Contoh Format Surat Pernyataan Cpns 2021 Dan Formasi Pppk Guru Kabupaten Sukabumi Jawa Barat - Lamaran mengikuti seleksi terbuka pengisian jabatan lowong pratama, yth.. Lamaran mengikuti seleksi terbuka pengisian jabatan lowong pratama, yth. Yang ingin tahu jumlah sementara pendaftar cpns pada pemerintah kota sukabumi. Bagi pelamar yang mengundurkan diri setelah dinyatakan lulus seleksi, wajib membuat surat pernyataan mengundurkan diri yang ditandatangani di . Termasuk surat pernyataan cpns pemkab sukabumi 2021, bermaterai. Jangan lupa untuk mempersiapkan surat lamaran cpns 2021 kabupaten sukabumi.

Posting Komentar untuk "Surat Lamaran Cpns Pemerintah Kabupaten Sukabumi - Begini Contoh Format Surat Pernyataan Cpns 2021 Dan Formasi Pppk Guru Kabupaten Sukabumi Jawa Barat - Lamaran mengikuti seleksi terbuka pengisian jabatan lowong pratama, yth."